Κατατέθηκε την Δευτέρα 15 Δεκεμβρίου 2025, στη Βουλή το νομοσχέδιο του Υπουργείου Εθνικής Άμυνας με τίτλο: «Χάρτης Μετάβασης των Ενόπλων Δυνάμεων στη Νέα Εποχή» (σταδιοδρομία και εξέλιξη Αξιωματικών, μονίμων Υπαξιωματικών και Επαγγελματιών Οπλιτών των Ενόπλων Δυνάμεων, μισθολογικές ρυθμίσεις για το στρατιωτικό προσωπικό των Ενόπλων Δυνάμεων, αναδιοργάνωση ακαδημαϊκής εκπαίδευσης των Ενόπλων Δυνάμεων, στρατολογία των Ελλήνων, εθελοντική στράτευση γυναικών και άλλες διατάξεις)». Το Σχέδιο Νόμου, το οποίο συμπληρώνει τη δέσμη πολιτικών που υλοποιούνται στο πλαίσιο της «Ατζέντας 2030», είχε παρουσιασθεί από τον Υπουργό Εθνικής Άμυνας, Νίκο Δένδια και είχε εγκριθεί από το Υπουργικό Συμβούλιο, το οποίο συνεδρίασε υπό τον Πρωθυπουργό Κυριάκο Μητσοτάκη, στις 30 Σεπτεμβρίου 2025.
Το νομοσχέδιο του ΥΠΕΘΑ προβλέπει μεταρρυθμίσεις στη σταδιοδρομία και στην εξέλιξη αξιωματικών -μονίμων Υπαξιωματικών και Επαγγελματιών Οπλιτών-, αλλά μισθολογικές ρυθμίσεις για το στρατιωτικό προσωπικό.
Σκοπός του Σχεδίου Νόμου είναι:
α) η θεσμοθέτηση οργανικών θέσεων των Αξιωματικών των Ενόπλων Δυνάμεων (ΕΔ) κατά Κλάδο των Ενόπλων Δυνάμεων, προέλευση, βαθμό και κατηγορία,
β) η αναδιαμόρφωση της συγκρότησης των Συμβουλίων Κρίσεων των Αξιωματικών,
γ) η αναδιαμόρφωση των προϋποθέσεων παραμονής των Αξιωματικών ανά βαθμό,
δ) η θέσπιση νέων βαθμών των μόνιμων Υπαξιωματικών των Κλάδων και των Κοινών Σωμάτων (ΚΣ) των ΕΔ,
ε) η διενέργεια προαγωγών αποκλειστικά για κάλυψη κενών οργανικών θέσεων ανωτέρων βαθμών,
στ) η θέσπιση νέων βαθμών των Επαγγελματιών Οπλιτών (ΕΠΟΠ) ως Υπαξιωματικών Ειδικής Προέλευσης (ΥΕΠ),
ζ) η ρύθμιση των προϋποθέσεων και της διαδικασίας μετάταξης των μόνιμων Υπαξιωματικών, αποφοίτων των Ανωτάτων Σχολών Μόνιμων Υπαξιωματικών (ΑΣΜΥ), στο σώμα Αξιωματικών,
η) η αναδιάρθρωση των βασικών μισθών και των μισθολογικών κλιμακίων των στελεχών των ΕΔ, τα οποία συνδέονται με τα έτη υπηρεσίας και την κατηγορία προέλευσης,
θ) η δημιουργία μισθολογικών βαθμίδων ανά κατηγορία προέλευσης, στις οποίες αποτυπώνεται η σταδιακή μισθολογική τους εξέλιξη σύμφωνα με τους νέους βαθμούς,
ι) η ενιαία ρύθμιση των ζητημάτων που αφορούν στις καταστάσεις των Αξιωματικών και μόνιμων Υπαξιωματικών και ο σαφής διαχωρισμός των καταστάσεων σε κύριες και πρόσθετες,
ια) η σύσταση της Διακλαδικής Διοίκησης Ακαδημαϊκής Εκπαίδευσης (ΔΙΔΑΕ), ο καθορισμός των αρμοδιοτήτων και των οργάνων της,
ιβ) η σύμπραξη της Σχολής Εθνικής Άμυνας (ΣΕΘΑ) και της Ανώτατης Διακλαδικής Σχολής Πολέμου (ΑΔΙΣΠΟ) με τα Ανώτατα Εκπαιδευτικά Ιδρύματα (ΑΕΙ) και τα Ανώτατα Στρατιωτικά Εκπαιδευτικά Ιδρύματα (ΑΣΕΙ) για την εκπόνηση Προγραμμάτων Μεταπτυχιακών Σπουδών (ΠΜΣ),
ιγ) η ρύθμιση ζητημάτων που αφορούν στην υποχρέωση στράτευσης,
ιδ) η αναμόρφωση της στρατολογικής νομοθεσίας και ιδίως των ρυθμίσεων που αφορούν στη χορήγηση αναβολής σε σπουδαστές δευτεροβάθμιας ή τριτοβάθμιας εκπαίδευσης, στη χορήγηση αναβολής σε μόνιμους κατοίκους εξωτερικού και στην κρίση της δυνατότητας στράτευσης όσων πάσχουν από ψυχικές παθήσεις,
ιε) ο καθορισμός του πλαισίου εκπαίδευσης των οπλιτών,
ιστ) ο καθορισμός διαδικασίας για την επιμόρφωση των οπλιτών στα Κέντρα Διά Βίου Μάθησης (ΚΔΒΜ) των ΕΔ,
ιζ) ο καθορισμός πλαισίου για τις τοποθετήσεις και μεταθέσεις των οπλιτών,
ιη) η ρύθμιση θεμάτων μετεκπαίδευσης εφεδρείας και η θέσπιση του θεσμού του ενεργού εθελοντή έφεδρου,
ιθ) η θεσμοθέτηση εθελοντικής στράτευσης γυναικών,
κ) η παροχή κινήτρου σε ανυπότακτους για κατάταξη στις ΕΔ έως την 31η.12.2027,
κα) η ρύθμιση θεμάτων υγειονομικής εξέτασης και απόλυσης των ΕΠΟΠ και
κβ) η ρύθμιση θεμάτων που αφορούν στη Στρατιωτική Δικαιοσύνη.
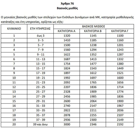
Οι μισθοί στις Ένοπλες Δυνάμεις
Για τη μισθολογική εξέλιξη των στελεχών όλων των κατηγοριών από το κατώτερο στο αμέσως ανώτερο μισθολογικό κλιμάκιο απαιτείται υπηρεσία τριών ετών στο πρώτο κλιμάκιο και δύο ετών για κάθε επόμενο.
Ο μηνιαίος μισθός των στελεχών των Ενόπλων Δυνάμεων ανά μισθολογική, κατηγορία μισθολογικής κατάταξης και έτη υπηρεσίας, ορίζεται ως εξής, σύμφωνα με το νέο νομοσχέδιο:

Οι αλλαγές στο Βαθμολόγιο
Μία από τις αλλαγές του νομοσχεδίου αφορά το νέο Βαθμολόγιο, που «παγώνει» τις προαγωγές των μονίμων υπαξιωματικών μέχρι τον βαθμό του Ανθυπασπιστή (σύμφωνα με τα όσα έχουν διαρρεύσει), οι οποίοι μέχρι σήμερα ολοκλήρωναν τη σταδιοδρομία του με τον βαθμό του Αντισυνταγματάρχη ή Συνταγματάρχη αν κατείχαν πτυχίο ΑΕΙ, χωρίς να προβλέπεται κάποιου είδους μεταβατικότητα.
Αντίθετα, το νομοσχέδιο ισχύει αναδρομικά, με αποτέλεσμα να θίγονται εν ενεργεία στελέχη των Ενόπλων Δυνάμεων, που εισήλθαν στο στράτευμα με συνθήκες που τελούν πλέον υπό ευθεία αμφισβήτηση.
Ειδικότερα, τις μεγαλύτερες συνέπειες πρόκειται να επωμιστούν στελέχη που υπηρετούν ήδη ως υπαξιωματικοί, οι Σχολές των οποίων απειλούνται ακόμη και με λουκέτο, με δεδομένο ότι δεν θα υπάρχει ένας πάγιος διάδρομος εξέλιξής τους, στο εξής.
Όπως απόφοιτος ΑΣΣΥ του 2007 που προάχθηκε πέρυσι σε Ανθυπολοχαγό, θα παραμείνει μέχρι την αποστρατεία του το 2040 στον ίδιο βαθμό.
Στην ίδια κατεύθυνση, μειωμένες δυνατότητες εξέλιξης προβλέπονται για τους Επαγγελματίες Οπλίτες (ΕΠΟΠ), αφού ΕΠΟΠ που κατατάχθηκε το 2004 θα προαχθεί του χρόνου σε Επιλοχία Διοικήσεως και θα παραμείνει μέχρι το 2039 στον ίδιο βαθμό.
Αναβολές, θητεία και εφεδρεία
Παράλληλα, το νέο νομοσχέδιο εισάγει νέο πλαίσιο για τη στρατιωτική θητεία, η οποία στο εξής θα αφορά εθελοντικά και τις γυναίκες. Μεταβάλλεται, επίσης, το περιεχόμενο της εκπαίδευσης των στρατευσίμων, καθώς εντάσσονται εκπαιδεύσεις με τη χρήση νέων τεχνολογιών.
Σύμφωνα με το νέο πλαίσιο προβλέπεται: βασική εκπαίδευση διάρκειας 10 εβδομάδων, ειδική εκπαίδευση διάρκειας 4 εβδομάδων και εκπαίδευση σε μονάδες ετοιμότητας διάρκειας 12 εβδομάδων.
Στη συνέχεια, ο πλήρως εκπαιδευμένος στρατιώτης αποδίδεται στην εφεδρεία.





